
(Mg,Fe)O is the second most abundant mineral in the Earth's lower mantle. While volumetrically it is not as important as silicate perovskite, it may contribute significantly to the chemical, physical and mechanical properties of this region. These properties all depend on the internal defect structure of the mineral grains, and also on the rate at which the constituent ions diffuse. In this study we aim to measure the rate of cation diffusion in (Mg,Fe)O, and hence infer its defect structure, at both room pressure and high pressures.
Single crystals of (Mg,Fe)O approximately 5× 10× 0.5 mm3 in size were prepared by annealing {100} plates of MgO in preannealed powders of the selected composition of (Mg,Fe)O for 200 hours at 1450° C and an oxygen fugacity of 10-7 atm. Under these conditions, Fe-Mg interdiffusion is sufficiently rapid that after the heat treatments the single crystals have a uniform composition similar to that of the initial powders. After removal of the single crystal from the sintered powder, the sample faces are polished with 0.3 µm alumina. Specimens for interdiffusion experiments are prepared by cleaving pieces approximately 2× 2× 0.5 mm3. An electron microprobe traverse is made through the cross section of one sample to assure that the Fe:Mg ratio is constant throughout the sample. In this way, single crystal samples with compositions ranging from Mg0.94Fe0.06O to Mg0.25Fe0.75O have been generated.
Interdiffusion experiments are performed by placing pairs of samples with different Fe:Mg ratios in contact and annealing them under controlled thermochemical conditions. For the 1 atm experiments, diffusion couples have been annealed at temperatures from 1240 to 1400° C at oxygen fugacities from 10-7 to 10-9.3atm. In these experiments, a small load of about 1 MPa is placed on the interdiffusion couple to maintain intimate contact between the crystals throughout the experiment. Higher pressure experiments have been performed in the multianvil apparatus at 6 or 10 GPa and temperatures from 1400 to 1600° C, with the oxygen fugacity buffered by the presence of an Fe sleeve, which partially oxidises during the experiment. After the experiment, the sample is cut approximately in half, with the cut oriented at right angles to the original interface. Profiles of Fe and Mg are determined at 10 µm intervals across the sample using the electron microprobe with a spot size of 10 µm. Interdiffusion coefficients for Fe-Mg are determined from the diffusion profiles using the Boltzmann-Matano analysis procedure.
The results of the 1 atm experiments yielded iron-magnesium interdiffusion
coefficients in the range from 10-12 to 10-13.5 m2
s-1, an activation energy for interdiffusion of 170±
30 kJ/mol, and an oxygen fugacity exponent of about 1/6. These parameters
are valid over the entire range of temperature, composition and oxygen
fugacity investigated to date and suggest control of diffusion by single
magnesium vacancies. The dependence of the interdiffusion rate on iron
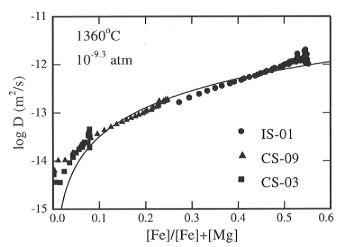
content of the (Mg,Fe)O is more complex and weakens as the iron content
increases (Fig. 3.1-5). This behaviour can be modelled reasonably well
using a power law relation with an exponent for the iron content of near
2. This dependence is more consistent with magnesium vacancies in defect
clusters associated with ferric iron in magnesium sites. Measurements
![]() |
Fig. 3.1-5:
Interdiffusion coefficients for (Mg,Fe)O as a function of iron content
for 3 diffusion couples, all from experiments at 1 atm, 1360°C and
an oxygen fugacity of 10-9.3 atm. The solid line is a fit to
the data using an assumed power-law dependence of magnesium vacancy diffusion
on iron content with an exponent of 2.
|
of the ferric iron content of the samples currently underway using Mössbauer spectroscopy should help to reconcile these inconsistencies.
The results of the high-pressure experiments that have been performed to date indicate that diffusion is much slower at elevated pressures, and indicate an activation volume for interdiffusion of 5-8 cm3 mol-1. More experiments are planned using both multianvil and piston cylinder apparatus to characterize more rigorously the effect of pressure on both the interdiffusion coefficients and the internal point defect structure of (Mg,Fe)O.